30309
[i] Выводы, используемые модулями, на отладочной плате К1967ВН044
Дата последнего изменения: 24.12.2025 10:29:38
Ниже будут приведены рисунки, которые позволят разобраться, какие выводы микросхемы используются для каждого модуля, какие это выводы на разъемах отладочного модуля, а также их назначение.
Все задействованные выводы для первого модуля МКИО и ARINC представлены на рисунке 1. Подключение модуля происходит в разъемы XS1.1 и XS1.2 отладочного модуля.
Рисунок 1 - Используемые выводы для первого модуля МКИО и ARINC на разъемах XS1.1 и XS1.2
Все задействованные выводы для модуля интерфейсов RS232/422 представлены на рисунке 2. Подключение модуля происходит в разъемы XS1.1 и XS1.2 отладочного модуля.
Рисунок 2 - Используемые выводы для модуля RS232/422 на разъемах XS1.1 и XS1.2
Все задействованные выводы для модуля Flash(К1636РР3/РР4) представлены на рисунке 3. Подключение модуля происходит в разъемы XS1.1 и XS1.2 отладочного модуля.
Рисунок 3 - Используемые выводы для модуля Flash(К1636РР3/РР4) на разъемах XS1.1 и XS1.2
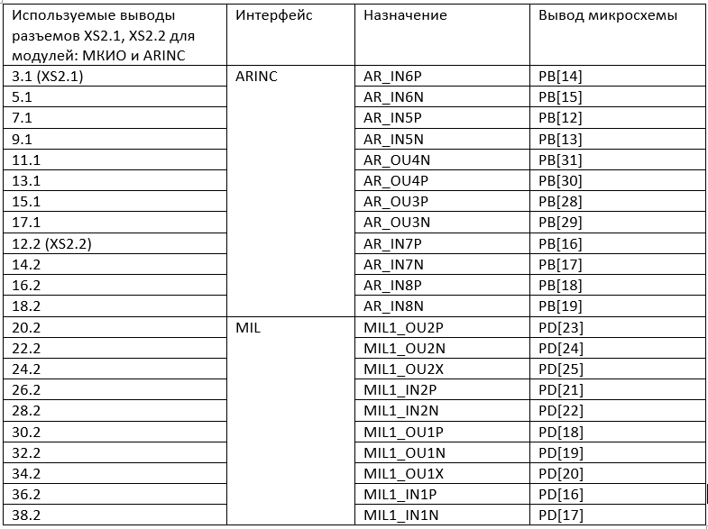
Все задействованные выводы для второго модуля МКИО и ARINC представлены на рисунке 4. Подключение модуля происходит в разъемы XS2.1 и XS2.2 отладочного модуля.
Рисунок 4 - Используемые выводы для второго модуля МКИО и ARINC на разъемах XS2.1 и XS2.2
Все задействованные выводы для модуля дисплея представлены на рисунке 5. Подключение модуля происходит в разъемы XS3.1 и XS3.2 отладочного модуля.
Рисунок 5 - Используемые выводы для модуля дисплея на разъемах XS3.1 и XS3.2
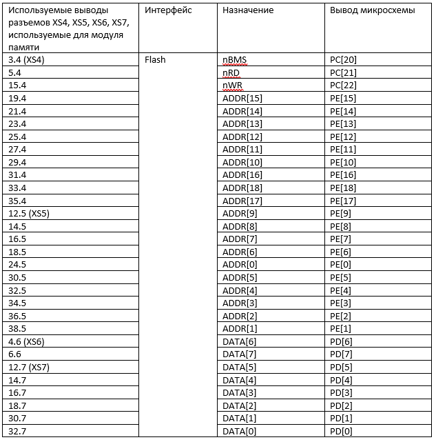
Все задействованные выводы для модуля памяти представлены на рисунке 6. Подключение модуля происходит в разъемы XS4, XS5, XS6, XS7 отладочного модуля.
Рисунок 6 - Используемые выводы для модуля памяти на разъемах XS4, XS5, XS6, XS7
Все задействованные выводы для модуля видеокамеры и аудиокодека представлены на рисунке 7. Подключение модуля происходит в разъемы XS7 и XS8 отладочного модуля.
Рисунок 6 - Используемые выводы для модуля видеокамеры и аудиокодека на разъемах XS7 и XS8
Сохранить статью в PDF
Все задействованные выводы для первого модуля МКИО и ARINC представлены на рисунке 1. Подключение модуля происходит в разъемы XS1.1 и XS1.2 отладочного модуля.
Рисунок 1 - Используемые выводы для первого модуля МКИО и ARINC на разъемах XS1.1 и XS1.2
Все задействованные выводы для модуля интерфейсов RS232/422 представлены на рисунке 2. Подключение модуля происходит в разъемы XS1.1 и XS1.2 отладочного модуля.
Рисунок 2 - Используемые выводы для модуля RS232/422 на разъемах XS1.1 и XS1.2
Все задействованные выводы для модуля Flash(К1636РР3/РР4) представлены на рисунке 3. Подключение модуля происходит в разъемы XS1.1 и XS1.2 отладочного модуля.
Рисунок 3 - Используемые выводы для модуля Flash(К1636РР3/РР4) на разъемах XS1.1 и XS1.2
Все задействованные выводы для второго модуля МКИО и ARINC представлены на рисунке 4. Подключение модуля происходит в разъемы XS2.1 и XS2.2 отладочного модуля.
Рисунок 4 - Используемые выводы для второго модуля МКИО и ARINC на разъемах XS2.1 и XS2.2
Все задействованные выводы для модуля дисплея представлены на рисунке 5. Подключение модуля происходит в разъемы XS3.1 и XS3.2 отладочного модуля.
Рисунок 5 - Используемые выводы для модуля дисплея на разъемах XS3.1 и XS3.2
Все задействованные выводы для модуля памяти представлены на рисунке 6. Подключение модуля происходит в разъемы XS4, XS5, XS6, XS7 отладочного модуля.
Рисунок 6 - Используемые выводы для модуля памяти на разъемах XS4, XS5, XS6, XS7
Все задействованные выводы для модуля видеокамеры и аудиокодека представлены на рисунке 7. Подключение модуля происходит в разъемы XS7 и XS8 отладочного модуля.
Рисунок 6 - Используемые выводы для модуля видеокамеры и аудиокодека на разъемах XS7 и XS8
Нельзя использовать совместно:
1. Модуль ARINC на XS1.1, XS1.2 + модуль дисплея;
2. Модуль ARINC на XS2.1, XS2.2 + модуль дисплея;
3. Модуль МКИО на XS1.1, XS1.2 + видеокамера на модуле видеокамеры и аудиокодека (аудиокодек использовать допускается, если вынуть шлейф с видеокамерой, в противном случае она будет передавать данные);
4. Модуль RS232/422 + модуль видеокамеры и аудиокодека.
1. Модуль ARINC на XS1.1, XS1.2 + модуль дисплея;
2. Модуль ARINC на XS2.1, XS2.2 + модуль дисплея;
3. Модуль МКИО на XS1.1, XS1.2 + видеокамера на модуле видеокамеры и аудиокодека (аудиокодек использовать допускается, если вынуть шлейф с видеокамерой, в противном случае она будет передавать данные);
4. Модуль RS232/422 + модуль видеокамеры и аудиокодека.
Сохранить статью в PDF
Теги
Отладочный комплект для К1967ВН044